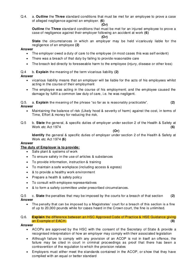
Breach Of Manual Handling Regulations - Ebook And Manual Free

2

2

Consequences Of A Safety Breach In The Workplace Livius Training

Consequences Of A Safety Breach In The Workplace Livius Training

2 Evidence Of Health And Safety Offences By Employers Download Table

2 Evidence Of Health And Safety Offences By Employers Download Table

The Manual Handling Operations Regulations 1992

The Manual Handling Operations Regulations 1992

Consequences Of A Safety Breach In The Workplace Livius Training

Consequences Of A Safety Breach In The Workplace Livius Training

Manual Handling Injury Claims Compensation Amounts

Manual Handling Injury Claims Compensation Amounts

Safety And Health Management Systems Health And Safety Authority

Safety And Health Management Systems Health And Safety Authority

J Mcginty Nebosh Certificate In Occupational Health Safety

J Mcginty Nebosh Certificate In Occupational Health Safety

Manual Handling Regulations Tips And Advice British Safety Council

Manual Handling Regulations Tips And Advice British Safety Council

Https Www Nhsemployers Org Media Employers Publications Manual 20handling Pdf

Https Www Nhsemployers Org Media Employers Publications Manual 20handling Pdf

Whs Breaches And Discipline Get The Balance Right Whs

Whs Breaches And Discipline Get The Balance Right Whs

Ppt Legal Update July 2013 Powerpoint Presentation Free

Ppt Legal Update July 2013 Powerpoint Presentation Free

Https Www Hse Ie Eng Staff Safetywellbeing Healthsafetyand 20wellbeing Manualhandlingandpeoplehandlingpolicy Pdf

Https Www Hse Ie Eng Staff Safetywellbeing Healthsafetyand 20wellbeing Manualhandlingandpeoplehandlingpolicy Pdf

Hazards Magazine And Whin

Hazards Magazine And Whin

Consequences Of A Safety Breach In The Workplace Livius Training

Consequences Of A Safety Breach In The Workplace Livius Training

Https Www Saudiaramco Com Media Downloads Working With Us Saudi Aramco Suppliers Safety Management System Ssms Pdf La En Hash 9620bce26de8648b32f58e09d5a9a41d363cd63e

Https Www Saudiaramco Com Media Downloads Working With Us Saudi Aramco Suppliers Safety Management System Ssms Pdf La En Hash 9620bce26de8648b32f58e09d5a9a41d363cd63e

Https Www Blmlaw Com Publications 21170 Pdf Disease Mini Handling 20back 1 Pdf

Https Www Blmlaw Com Publications 21170 Pdf Disease Mini Handling 20back 1 Pdf

Consequences Of A Safety Breach In The Workplace Livius Training

Consequences Of A Safety Breach In The Workplace Livius Training

Https Www Saskatoonhealthregion Ca About Ohspolicies 60 001 1 20procedure Pdf

Https Www Saskatoonhealthregion Ca About Ohspolicies 60 001 1 20procedure Pdf

Manual Handling Regulations Tips And Advice British Safety Council

Manual Handling Regulations Tips And Advice British Safety Council

Moving And Handling Equipment Checking They Are Safe To Use

Moving And Handling Equipment Checking They Are Safe To Use

Https Encrypted Tbn0 Gstatic Com Images Q Tbn 3aand9gcq12kfzrz9qgc Mt79dlu1ifztmcjvmbpzhzqpthdgkw4eyxavq Usqp Cau

Https Encrypted Tbn0 Gstatic Com Images Q Tbn 3aand9gcq12kfzrz9qgc Mt79dlu1ifztmcjvmbpzhzqpthdgkw4eyxavq Usqp Cau

Hse Brothers Nebosh Important Q A 1 Facebook

Hse Brothers Nebosh Important Q A 1 Facebook

Https Www Hse Gov Uk Pubns Indg143 Pdf

Https Www Hse Gov Uk Pubns Indg143 Pdf

A Method For Breach Assessment Onboard A Damaged Passenger Ship

A Method For Breach Assessment Onboard A Damaged Passenger Ship

Https Www Hse Ie Eng Staff Safetywellbeing Healthsafetyand 20wellbeing Manualhandlingandpeoplehandlingpolicy Pdf

Https Www Hse Ie Eng Staff Safetywellbeing Healthsafetyand 20wellbeing Manualhandlingandpeoplehandlingpolicy Pdf

Top Osh Prosecutions Of 2017

Top Osh Prosecutions Of 2017

Apply Occupational Health And Safety Proceedures Ppt Video

Apply Occupational Health And Safety Proceedures Ppt Video

Whs Act Breaches Consequences Ability Group Workers

Whs Act Breaches Consequences Ability Group Workers

1m Fine For Health And Safety Breaches At Poundstretcher

1m Fine For Health And Safety Breaches At Poundstretcher

10 Biggest Health And Safety Prosecutions Of 2018

10 Biggest Health And Safety Prosecutions Of 2018

Working At Height In New Zealand Worksafe

Working At Height In New Zealand Worksafe

Https Encrypted Tbn0 Gstatic Com Images Q Tbn 3aand9gct5ae4jl6u6m6mnftob3jlvmawjr333hgeaha22ldajhgi Ap6l Usqp Cau

Https Encrypted Tbn0 Gstatic Com Images Q Tbn 3aand9gct5ae4jl6u6m6mnftob3jlvmawjr333hgeaha22ldajhgi Ap6l Usqp Cau

Https Encrypted Tbn0 Gstatic Com Images Q Tbn 3aand9gcrbeerx9fjbiryuxqpvxdvvdil7mevvl0 1uvlo6ug Usqp Cau

Https Encrypted Tbn0 Gstatic Com Images Q Tbn 3aand9gcrbeerx9fjbiryuxqpvxdvvdil7mevvl0 1uvlo6ug Usqp Cau

Fillable Online Health And Safety Policy And Procedures Harris

Fillable Online Health And Safety Policy And Procedures Harris

Health And Safety For Small Businesses 2019 Learn More Here

Health And Safety For Small Businesses 2019 Learn More Here

The Consequences Of Poor Manual Handling High Speed Training

The Consequences Of Poor Manual Handling High Speed Training

Https Www Blmlaw Com Publications 21170 Pdf Disease Mini Handling 20back 1 Pdf

Https Www Blmlaw Com Publications 21170 Pdf Disease Mini Handling 20back 1 Pdf

Management Of Health And Safety At Work Regulations 1999 Section 3

Management Of Health And Safety At Work Regulations 1999 Section 3

Lifting Pushing And Pulling Manual Handling Safe Work Australia

Lifting Pushing And Pulling Manual Handling Safe Work Australia

Oak Furnitureland Fined 400 000 For Safety Breaches At Warehouse

Oak Furnitureland Fined 400 000 For Safety Breaches At Warehouse

Lifting Pushing And Pulling Manual Handling Safe Work Australia

Lifting Pushing And Pulling Manual Handling Safe Work Australia

Nebosh Important Q A

Nebosh Important Q A

What Is Coshh Everything You Need To Know British Safety Council

What Is Coshh Everything You Need To Know British Safety Council

5 Best Practices For Data Breach Prevention In 2019 Endpoint

5 Best Practices For Data Breach Prevention In 2019 Endpoint

Oak Furnitureland Fined Almost 400 000 For Serious Health And

Oak Furnitureland Fined Almost 400 000 For Serious Health And

Manual Handling Regulations Tips And Advice British Safety Council

Manual Handling Regulations Tips And Advice British Safety Council

The Consequences Of Poor Manual Handling High Speed Training

The Consequences Of Poor Manual Handling High Speed Training

Consequences Of A Safety Breach In The Workplace Livius Training

Consequences Of A Safety Breach In The Workplace Livius Training

Manual Handling Injury Claims Compensation Amounts

Manual Handling Injury Claims Compensation Amounts

Introduction To The Health And Safety At Work Act 2015 Special

Introduction To The Health And Safety At Work Act 2015 Special

California Health Information Privacy Manual California Hospital

California Health Information Privacy Manual California Hospital

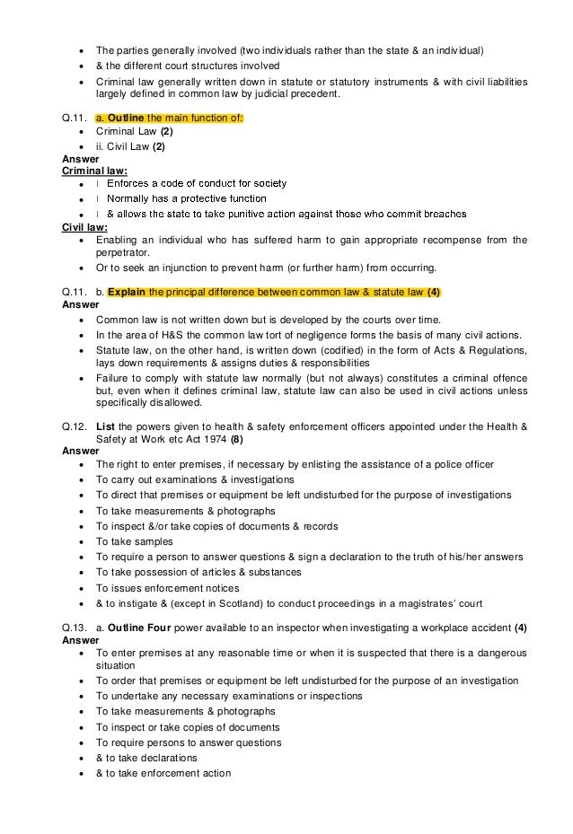
Guide To Personal Injury Claims Pdf Free Download

Guide To Personal Injury Claims Pdf Free Download

Manual Handling Guidelines Regulations Brighthr

Manual Handling Guidelines Regulations Brighthr

Management Of Health And Safety At Work Regulations 1999 Section 3

Management Of Health And Safety At Work Regulations 1999 Section 3

Consequences Of A Safety Breach In The Workplace Livius Training

Consequences Of A Safety Breach In The Workplace Livius Training

Health And Safety Obligations For Irish Employers Including Non

Health And Safety Obligations For Irish Employers Including Non

Follow Health Safety And Security Procedures Emergency

Follow Health Safety And Security Procedures Emergency

Moving And Handling Equipment Checking They Are Safe To Use

Moving And Handling Equipment Checking They Are Safe To Use

Https Aace Org Uk Wp Content Uploads 2018 03 Stream 3 10 00 Alison Mclellan And Tracy Coates Nhs Resolution And Tony Yeaman Weightmans Learning From Harm Pdf

Https Aace Org Uk Wp Content Uploads 2018 03 Stream 3 10 00 Alison Mclellan And Tracy Coates Nhs Resolution And Tony Yeaman Weightmans Learning From Harm Pdf

Legislation In The Construction Industry Croner I

Legislation In The Construction Industry Croner I

Case Study 9 A Manual Handling Claim Qbe

Case Study 9 A Manual Handling Claim Qbe

Manual Handling Regulations Tips And Advice British Safety Council

Manual Handling Regulations Tips And Advice British Safety Council

Http Edcint Co Nz Ilk Manuals 05 20shared 20facilities 20rules 20of 20use Pdf

Http Edcint Co Nz Ilk Manuals 05 20shared 20facilities 20rules 20of 20use Pdf

Introduction To Health And Safety At Work Solution Manual Of By Ed Fe

Introduction To Health And Safety At Work Solution Manual Of By Ed Fe

1

1

Introduction To Health And Safety At Work Solution Manual Of By Ed Fe

Introduction To Health And Safety At Work Solution Manual Of By Ed Fe

Https Www Gov Gg Chttphandler Ashx Id 106296 P 0

Https Www Gov Gg Chttphandler Ashx Id 106296 P 0

Https Www Unison Org Uk Content Uploads 2013 07 Best Practice And Procedureshealth And Safety Manual For Unison East Midlands3 Pdf

Https Www Unison Org Uk Content Uploads 2013 07 Best Practice And Procedureshealth And Safety Manual For Unison East Midlands3 Pdf

Looking After Your Workplace Most Common Breaches In Ohs

Looking After Your Workplace Most Common Breaches In Ohs

Lifting Pushing And Pulling Manual Handling Safe Work Australia

Lifting Pushing And Pulling Manual Handling Safe Work Australia

What Are The Laws Around Health And Safety In The Uk

What Are The Laws Around Health And Safety In The Uk

Health And Safety Fines 75k Higher Than Cost Of Compliance

Health And Safety Fines 75k Higher Than Cost Of Compliance

Https Www Gov Gg Chttphandler Ashx Id 106296 P 0

Https Www Gov Gg Chttphandler Ashx Id 106296 P 0

Introduction To The Health And Safety At Work Act 2015 Special

Introduction To The Health And Safety At Work Act 2015 Special

Manual Handling Regulations Tips And Advice British Safety Council

Manual Handling Regulations Tips And Advice British Safety Council

Lifting And Manual Handling Tasks Resulting In Work Accident Or

Lifting And Manual Handling Tasks Resulting In Work Accident Or

Http Www Boardofstudies Nsw Edu Au Draft Syllabuses Pdf Doc Entind Currfwk Ptb Files Cufsaf01b Pdf

Http Www Boardofstudies Nsw Edu Au Draft Syllabuses Pdf Doc Entind Currfwk Ptb Files Cufsaf01b Pdf

A Barrister S Guide To The New Coronavirus Regulations

A Barrister S Guide To The New Coronavirus Regulations

Lifting Pushing And Pulling Manual Handling Safe Work Australia

Lifting Pushing And Pulling Manual Handling Safe Work Australia

Introduction To Health And Safety At Work Solution Manual Of By Ed Fe

Introduction To Health And Safety At Work Solution Manual Of By Ed Fe

J Mcginty Nebosh Certificate In Occupational Health Safety

J Mcginty Nebosh Certificate In Occupational Health Safety

Https Www1 Health Nsw Gov Au Pds Activepdsdocuments Pd2018 013 Pdf

Https Www1 Health Nsw Gov Au Pds Activepdsdocuments Pd2018 013 Pdf

Introduction To Health And Safety At Work Solution Manual Of By Ed Fe

Introduction To Health And Safety At Work Solution Manual Of By Ed Fe

Wilko Fined 2 2m After Horrific Workplace Accident

Wilko Fined 2 2m After Horrific Workplace Accident

2

2

Https Www Hse Gov Uk Pubns Indg143 Pdf

Https Www Hse Gov Uk Pubns Indg143 Pdf

How Much Can I Claim For A Manual Handling Accident Free Legal

How Much Can I Claim For A Manual Handling Accident Free Legal

Https Tgchambers Com Wp Content Uploads 2019 03 Mgs Piba 2019 Talk Final Pdf

Https Tgchambers Com Wp Content Uploads 2019 03 Mgs Piba 2019 Talk Final Pdf

Fada Moving Image Department Risks Control Measures

Fada Moving Image Department Risks Control Measures

Safe Manual Handling Poster 400g Laminated A4 Sign Clear Health

Safe Manual Handling Poster 400g Laminated A4 Sign Clear Health

Health And Safety At Work Etc Act 1974 Explained

Health And Safety At Work Etc Act 1974 Explained

Manual Handling Claims How Much Compensation Can I Claim

Manual Handling Claims How Much Compensation Can I Claim

Workplace Health Safety

Workplace Health Safety

The Consequences Of Poor Manual Handling High Speed Training

The Consequences Of Poor Manual Handling High Speed Training

Https Www Hse Gov Uk Pubns Indg143 Pdf

Https Www Hse Gov Uk Pubns Indg143 Pdf

How Much Can I Claim For A Manual Handling Accident Free Legal

How Much Can I Claim For A Manual Handling Accident Free Legal

Health And Safety Fines 75k Higher Than Cost Of Compliance

Health And Safety Fines 75k Higher Than Cost Of Compliance

Introduction To The Health And Safety At Work Act 2015 Special

Introduction To The Health And Safety At Work Act 2015 Special

Manual Handling Regulations Tips And Advice British Safety Council

Manual Handling Regulations Tips And Advice British Safety Council

Health And Safety Breach Accident Injury Guide How Much

Health And Safety Breach Accident Injury Guide How Much

Introduction To The Health And Safety At Work Act 2015 Special

Introduction To The Health And Safety At Work Act 2015 Special

Health And Safety In The Office Pdf Free Download

Health And Safety In The Office Pdf Free Download

Wilko Fined 2 2m After Horrific Workplace Accident

Wilko Fined 2 2m After Horrific Workplace Accident